Вопрос по геометрии:
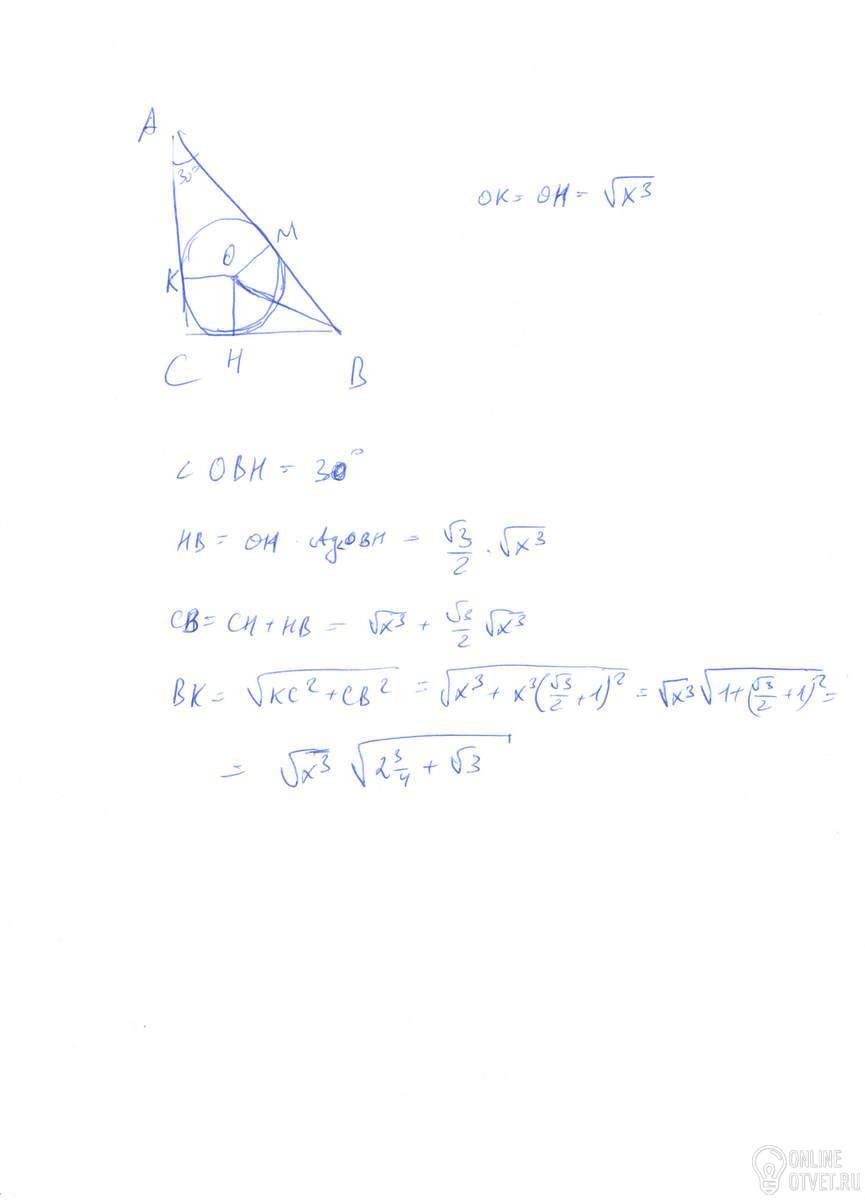
Окружность радиуса корня 3, вписанная в прямоугольный треугольник АВС с углом А равному 30 градусам, касается катета АС с точке К. Найти ВК.
- 11.07.2018 20:26
- Геометрия
- remove_red_eye 11824
- thumb_up 36
Ответы и объяснения 1
Знаете ответ? Поделитесь им!
Есть сомнения?
Не нашли подходящего ответа на вопрос или ответ отсутствует? Воспользуйтесь поиском по сайту, чтобы найти все ответы на похожие вопросы в разделе Геометрия.
Трудности с домашними заданиями? Не стесняйтесь попросить о помощи - смело задавайте вопросы!
Геометрия — раздел математики, изучающий пространственные структуры и отношения, а также их обобщения.