Вопрос по математике:
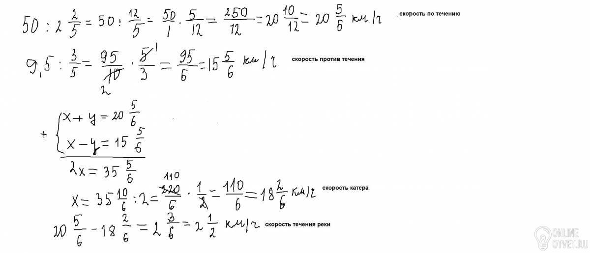
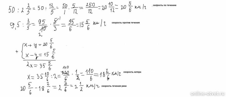
Катер проплив за течією річки 50 км за 2 цілих 2/5 год, а потім 9,5 км проти течії за 3/5 год. Знайдіть швидкість течії річки
- 06.09.2018 01:54
- Математика
- remove_red_eye 860
- thumb_up 30
Ответы и объяснения 1
Знаете ответ? Поделитесь им!
Есть сомнения?
Не нашли подходящего ответа на вопрос или ответ отсутствует? Воспользуйтесь поиском по сайту, чтобы найти все ответы на похожие вопросы в разделе Математика.
Трудности с домашними заданиями? Не стесняйтесь попросить о помощи - смело задавайте вопросы!
Математика — наука о структурах, порядке и отношениях, исторически сложившаяся на основе операций подсчёта, измерения и описания формы объектов.