Вопрос по геометрии:
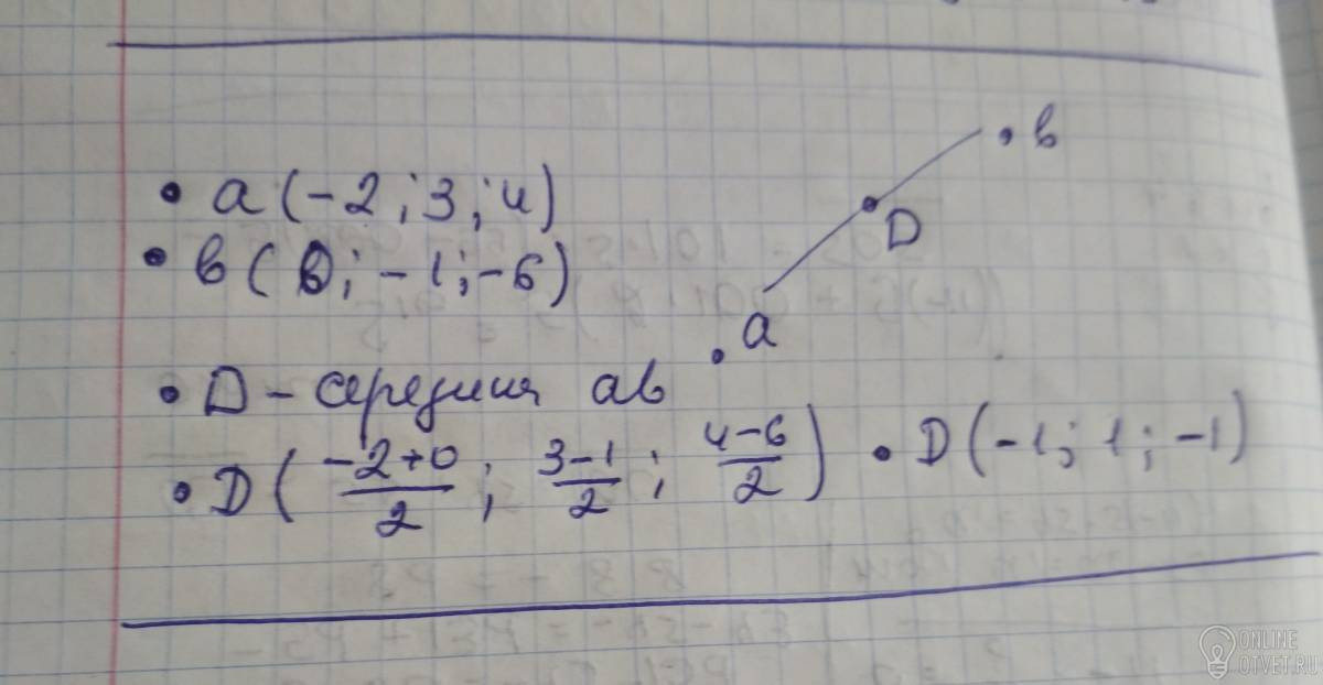
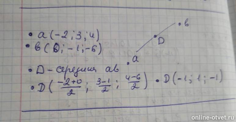
Відносно якої з даних точок симетричні точки a(-2;3;4) і b(0;-1;-6)
А)С(-2;4;-10)
Б)D(-1;1;-1)
B)E(1;1;-2)
Г) F(-2;2;-2)
- 16.07.2018 14:20
- Геометрия
- remove_red_eye 15484
- thumb_up 30
Ответы и объяснения 1
Знаете ответ? Поделитесь им!
Есть сомнения?
Не нашли подходящего ответа на вопрос или ответ отсутствует? Воспользуйтесь поиском по сайту, чтобы найти все ответы на похожие вопросы в разделе Геометрия.
Трудности с домашними заданиями? Не стесняйтесь попросить о помощи - смело задавайте вопросы!
Геометрия — раздел математики, изучающий пространственные структуры и отношения, а также их обобщения.