Вопрос по геометрии:
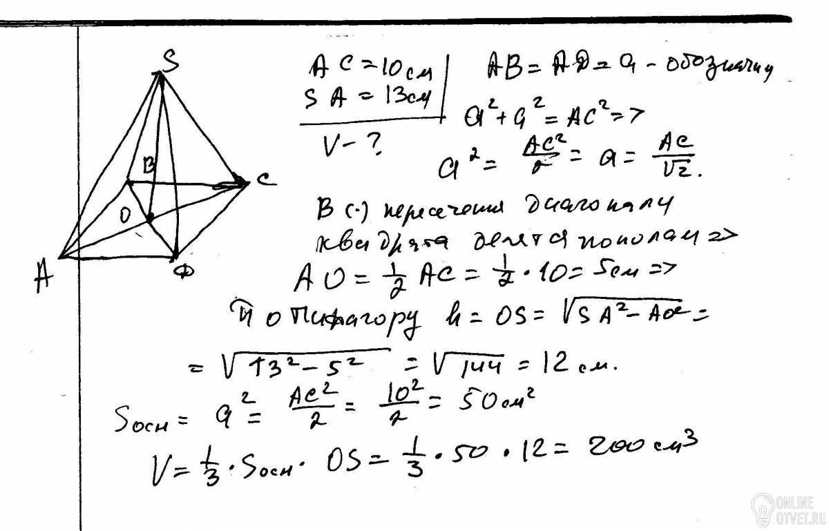
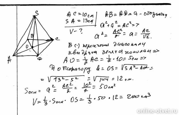
Обчисліть об'єм правильної чотирикутної піраміди, якщо діагональ основи дорівнює 10 см, а бічне ребро 13 см.
- 13.06.2018 22:48
- Геометрия
- remove_red_eye 10208
- thumb_up 32
Ответы и объяснения 1
Знаете ответ? Поделитесь им!
Есть сомнения?
Не нашли подходящего ответа на вопрос или ответ отсутствует? Воспользуйтесь поиском по сайту, чтобы найти все ответы на похожие вопросы в разделе Геометрия.
Трудности с домашними заданиями? Не стесняйтесь попросить о помощи - смело задавайте вопросы!
Геометрия — раздел математики, изучающий пространственные структуры и отношения, а также их обобщения.