Вопрос по геометрии:
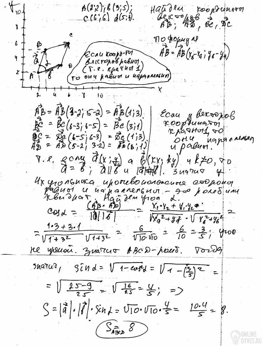
Найдите площадь четырехугольника abcd вершины которого заданы координатами a(2;2) b(3;5) c(6;6) d(5;3)
- 14.06.2017 00:43
- Геометрия
- remove_red_eye 9312
- thumb_up 41
Ответы и объяснения 1
Знаете ответ? Поделитесь им!
Есть сомнения?
Не нашли подходящего ответа на вопрос или ответ отсутствует? Воспользуйтесь поиском по сайту, чтобы найти все ответы на похожие вопросы в разделе Геометрия.
Трудности с домашними заданиями? Не стесняйтесь попросить о помощи - смело задавайте вопросы!
Геометрия — раздел математики, изучающий пространственные структуры и отношения, а также их обобщения.