Вопрос по геометрии:
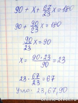
Один острый угол прямоугольного треугольника в 67/23 (дробь) раза больше другого. Найдите больший острый угол. Ответ дайте в градусах.
- 26.10.2016 02:57
- Геометрия
- remove_red_eye 8384
- thumb_up 33
Ответы и объяснения 1
Знаете ответ? Поделитесь им!
Есть сомнения?
Не нашли подходящего ответа на вопрос или ответ отсутствует? Воспользуйтесь поиском по сайту, чтобы найти все ответы на похожие вопросы в разделе Геометрия.
Трудности с домашними заданиями? Не стесняйтесь попросить о помощи - смело задавайте вопросы!
Геометрия — раздел математики, изучающий пространственные структуры и отношения, а также их обобщения.