Вопрос по геометрии:
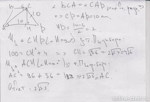
Основание равнобокой трапеции равны 6см и 10см, а диагональ делит тупой угол трапеции пополам. Найти длину этой диагонали.
- 24.12.2016 06:06
- Геометрия
- remove_red_eye 7339
- thumb_up 38
Ответы и объяснения 1
Знаете ответ? Поделитесь им!
Есть сомнения?
Не нашли подходящего ответа на вопрос или ответ отсутствует? Воспользуйтесь поиском по сайту, чтобы найти все ответы на похожие вопросы в разделе Геометрия.
Трудности с домашними заданиями? Не стесняйтесь попросить о помощи - смело задавайте вопросы!
Геометрия — раздел математики, изучающий пространственные структуры и отношения, а также их обобщения.