Вопрос по физике:
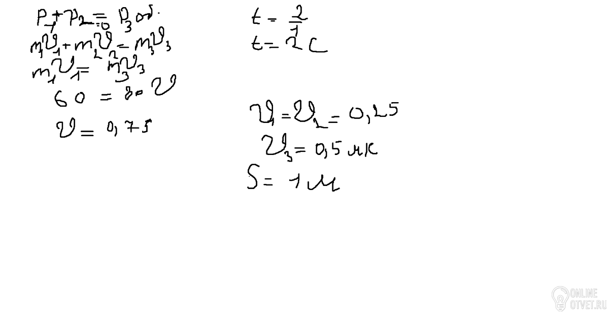
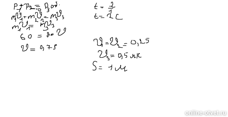
На полу стоит тележка в виде длинной доски, снабженной легкими колесами. На одном конце доски стоит человек. Его масса M=60 кг, масса доски m=20 кг. Найти, на какое расстояние переместится человек относительно пола при его переходе на другой конец доски со скоростью V1 = 1 м/с относительно доски. Длина доски l = 2 м. массой колес и трением в их осях пренебречь.
- 25.05.2017 20:09
- Физика
- remove_red_eye 13132
- thumb_up 25
Ответы и объяснения 1
Знаете ответ? Поделитесь им!
Есть сомнения?
Не нашли подходящего ответа на вопрос или ответ отсутствует? Воспользуйтесь поиском по сайту, чтобы найти все ответы на похожие вопросы в разделе Физика.
Трудности с домашними заданиями? Не стесняйтесь попросить о помощи - смело задавайте вопросы!
Физика — область естествознания: естественная наука о простейших и вместе с тем наиболее общих законах природы, о материи, её структуре и движении.