Вопрос по физике:
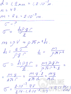
Определите поверхностное натяжение воды если диаметр отверстия пипетки d=1,2 мм а масса n=49 капель воды m=2г
- 04.08.2018 02:24
- Физика
- remove_red_eye 14551
- thumb_up 30
Ответы и объяснения 1
Знаете ответ? Поделитесь им!
Есть сомнения?
Не нашли подходящего ответа на вопрос или ответ отсутствует? Воспользуйтесь поиском по сайту, чтобы найти все ответы на похожие вопросы в разделе Физика.
Трудности с домашними заданиями? Не стесняйтесь попросить о помощи - смело задавайте вопросы!
Физика — область естествознания: естественная наука о простейших и вместе с тем наиболее общих законах природы, о материи, её структуре и движении.