- 23.01.2018 05:44
- Алгебра
- remove_red_eye 1083
- thumb_up 35
Ответы и объяснения 1
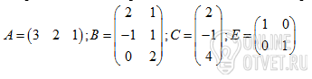
О ..... Вот это задание ты не можешь решить!? Ладно, не буду тянуть!!Задание. Вычислить и , если Решение. Так как , а , то произведение возможно и результатом операции умножения будет матрица , а это матрица вида .Вычислим элементы матрицы :Итак, .Выполним произведения в более компактном виде:
Найдем теперь произведение . Так как количество столбцов матрицы (первый сомножитель) не совпадает с количеством строк матрицы (второй сомножитель), то данное произведение неопределенно. Умножить матрицы в данном порядке невозможно.Ответ. . В обратном порядке умножить данные матрицы невозможно, так как количество столбцов матрицы не совпадает с количеством строк матрицы .
- 24.01.2018 07:13
- thumb_up 30
Знаете ответ? Поделитесь им!
Есть сомнения?
Не нашли подходящего ответа на вопрос или ответ отсутствует? Воспользуйтесь поиском по сайту, чтобы найти все ответы на похожие вопросы в разделе Алгебра.
Трудности с домашними заданиями? Не стесняйтесь попросить о помощи - смело задавайте вопросы!
Алгебра — раздел математики, который можно нестрого охарактеризовать как обобщение и расширение арифметики.