Вопрос по геометрии:
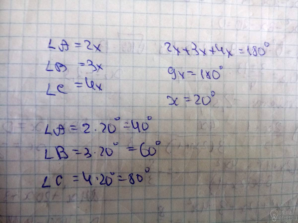
Углы треугольника ABC пропорциональны числам 2:3:4 соответственно. Найдите градусные меры этих углов
- 09.09.2018 20:25
- Геометрия
- remove_red_eye 5296
- thumb_up 50
Ответы и объяснения 1
Знаете ответ? Поделитесь им!
Есть сомнения?
Не нашли подходящего ответа на вопрос или ответ отсутствует? Воспользуйтесь поиском по сайту, чтобы найти все ответы на похожие вопросы в разделе Геометрия.
Трудности с домашними заданиями? Не стесняйтесь попросить о помощи - смело задавайте вопросы!
Геометрия — раздел математики, изучающий пространственные структуры и отношения, а также их обобщения.