Пожаловаться
- 14.07.2017 21:37
- Геометрия
- remove_red_eye 17276
- thumb_up 19
Ответы и объяснения 1
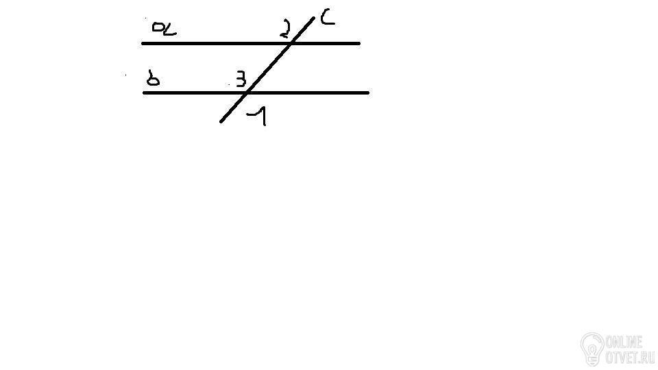
Углы 1=3 как вертикальные
углы 2=4 как вертикальные
углы 1=2 => углы 3=4 накр.леж. при a и b и секущей c => a||b по 2-м накр. леж. углам
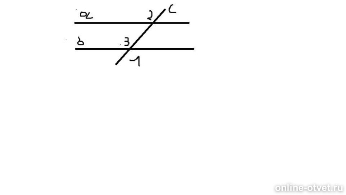
углы 2=4 как вертикальные
углы 1=2 => углы 3=4 накр.леж. при a и b и секущей c => a||b по 2-м накр. леж. углам
Пожаловаться
- 15.07.2017 19:28
- thumb_up 15
Знаете ответ? Поделитесь им!
Есть сомнения?
Не нашли подходящего ответа на вопрос или ответ отсутствует? Воспользуйтесь поиском по сайту, чтобы найти все ответы на похожие вопросы в разделе Геометрия.
Трудности с домашними заданиями? Не стесняйтесь попросить о помощи - смело задавайте вопросы!
Геометрия — раздел математики, изучающий пространственные структуры и отношения, а также их обобщения.
Новые вопросы
Интересные вопросы