Пожаловаться
- 07.10.2017 15:20
- Геометрия
- remove_red_eye 8715
- thumb_up 31
Ответы и объяснения 1
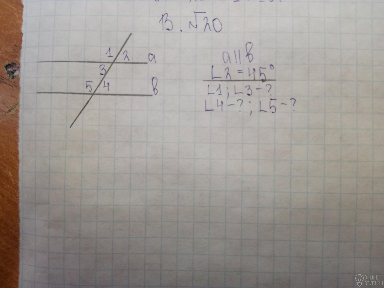
Уг1=180°-45°=135°, т.к. смежные
3уг=180°-135°=45° - т.к. смежные
4уг=3уг=45° - т.к. накрестлежащие
5уг=180°-4уг=180°-45°= 135°, т.к. смежные
3уг=180°-135°=45° - т.к. смежные
4уг=3уг=45° - т.к. накрестлежащие
5уг=180°-4уг=180°-45°= 135°, т.к. смежные
Пожаловаться
- 08.10.2017 13:36
- thumb_up 9
Знаете ответ? Поделитесь им!
Есть сомнения?
Не нашли подходящего ответа на вопрос или ответ отсутствует? Воспользуйтесь поиском по сайту, чтобы найти все ответы на похожие вопросы в разделе Геометрия.
Трудности с домашними заданиями? Не стесняйтесь попросить о помощи - смело задавайте вопросы!
Геометрия — раздел математики, изучающий пространственные структуры и отношения, а также их обобщения.
Новые вопросы
Интересные вопросы