Вопрос по геометрии:
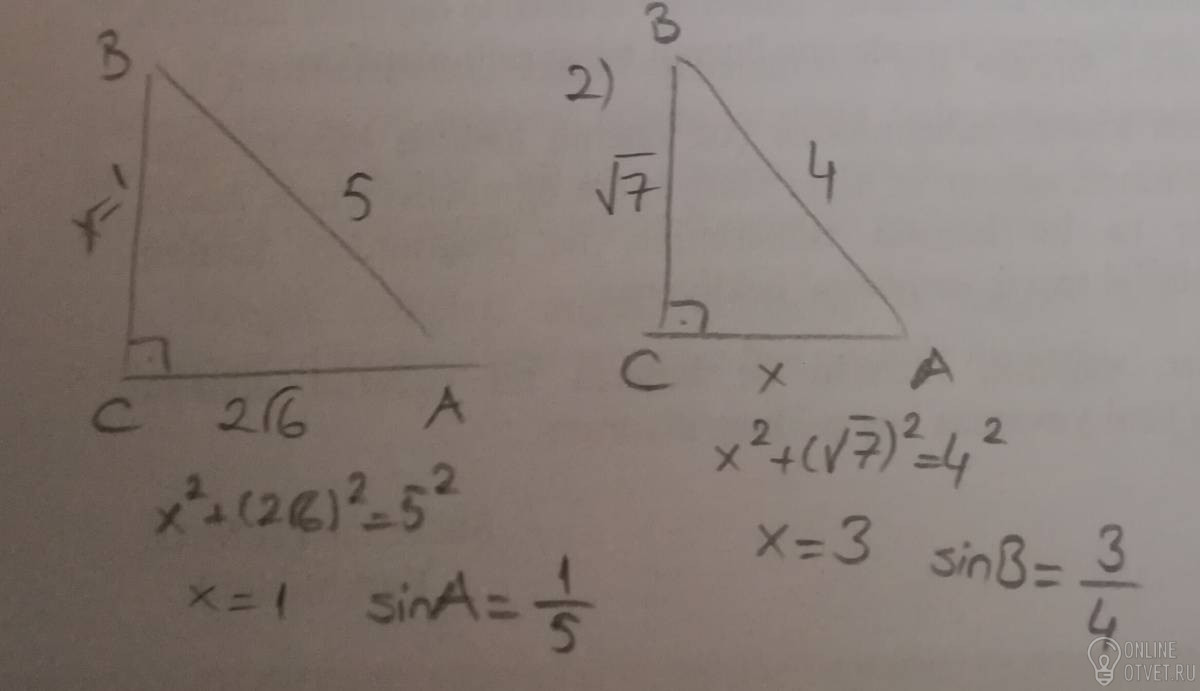
1)в треугольнике АВС угол С равен 90,cos А=2√6/5.найдите sin А.2)В треугольнике ABC угол C равен 90 градусов sin A=корень 7/4 найти sin B
- 01.10.2016 23:02
- Геометрия
- remove_red_eye 16546
- thumb_up 43
Ответы и объяснения 1
Знаете ответ? Поделитесь им!
Есть сомнения?
Не нашли подходящего ответа на вопрос или ответ отсутствует? Воспользуйтесь поиском по сайту, чтобы найти все ответы на похожие вопросы в разделе Геометрия.
Трудности с домашними заданиями? Не стесняйтесь попросить о помощи - смело задавайте вопросы!
Геометрия — раздел математики, изучающий пространственные структуры и отношения, а также их обобщения.