Вопрос по геометрии:
Помогите с решением пожалуйста, никак не могу решить
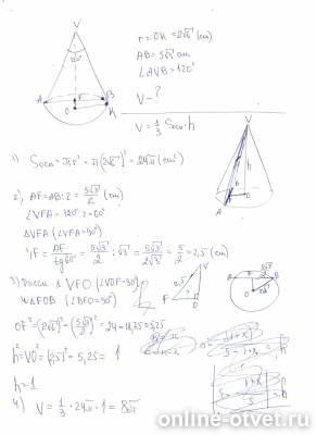
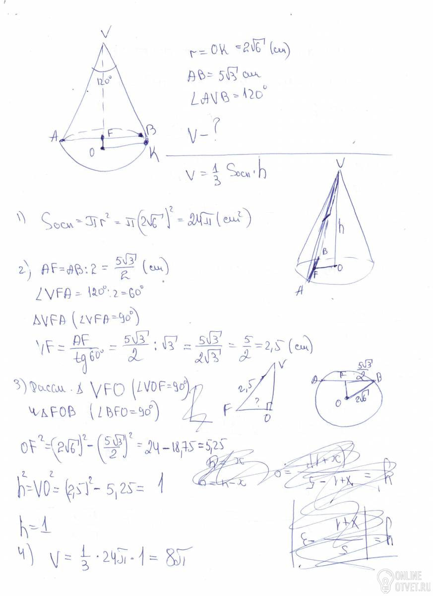
Дан прямой круговой конус с вершиной V и радиусом основания 2√6 см. Длина хорды AB из основания конуса равна 5√3 см и мера угла AVВ = 120 градусов. Найдите объем конуса.
- 16.07.2017 04:09
- Геометрия
- remove_red_eye 2812
- thumb_up 41
Ответы и объяснения 1
Знаете ответ? Поделитесь им!
Есть сомнения?
Не нашли подходящего ответа на вопрос или ответ отсутствует? Воспользуйтесь поиском по сайту, чтобы найти все ответы на похожие вопросы в разделе Геометрия.
Трудности с домашними заданиями? Не стесняйтесь попросить о помощи - смело задавайте вопросы!
Геометрия — раздел математики, изучающий пространственные структуры и отношения, а также их обобщения.