Пожаловаться
- 02.01.2017 03:35
- Геометрия
- remove_red_eye 11582
- thumb_up 32
Ответы и объяснения 1
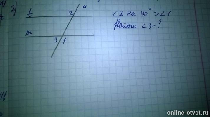
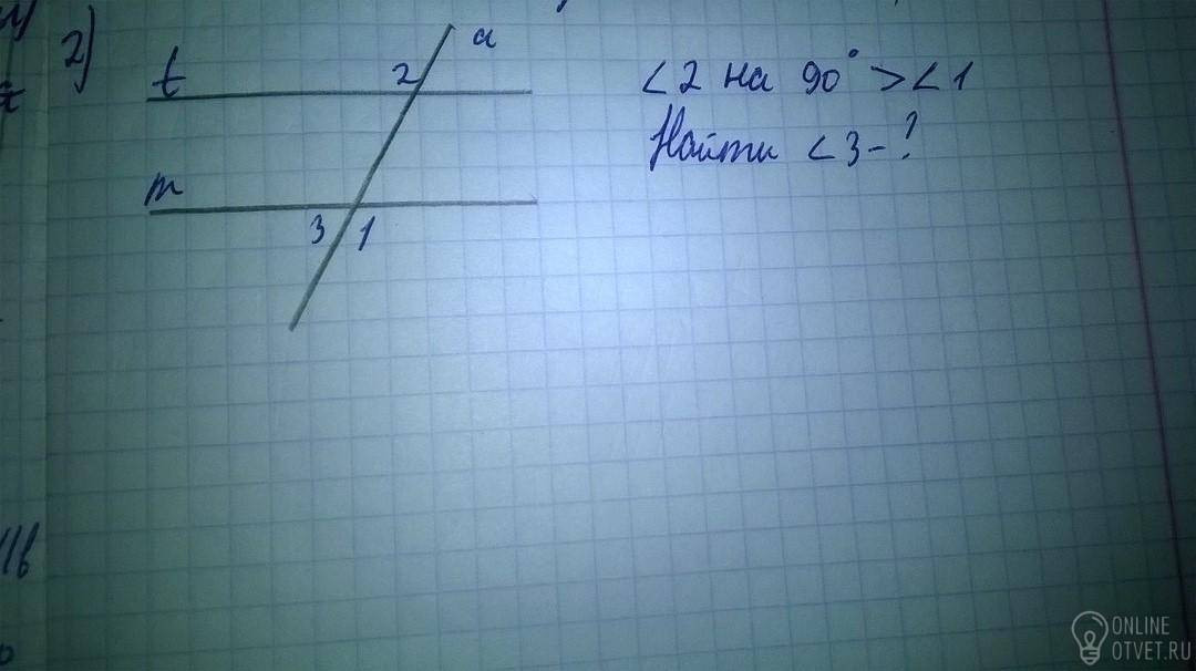
Угол 4(выше угла 1)=90 градусов(По условию угол 2 > угол 1 на 90 градусов, а угол 1=180 градусов - угол 4) угол 1 = 180-90=110. Угол 3= 180- угол 1= 180-110=90. Ответ: 90 градусов
Пожаловаться
- 03.01.2017 10:18
- thumb_up 3
Знаете ответ? Поделитесь им!
Есть сомнения?
Не нашли подходящего ответа на вопрос или ответ отсутствует? Воспользуйтесь поиском по сайту, чтобы найти все ответы на похожие вопросы в разделе Геометрия.
Трудности с домашними заданиями? Не стесняйтесь попросить о помощи - смело задавайте вопросы!
Геометрия — раздел математики, изучающий пространственные структуры и отношения, а также их обобщения.
Новые вопросы
Интересные вопросы