Вопрос по геометрии:
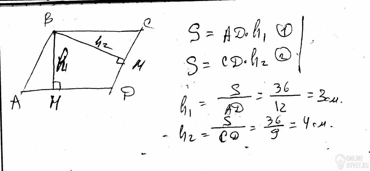
Стороны параллелограмма равны 12 см и 9 см,а его площадь равна 36 см в квадрате.Найдите высоты параллелограмма.
- 24.04.2017 14:13
- Геометрия
- remove_red_eye 8506
- thumb_up 46
Ответы и объяснения 1
Знаете ответ? Поделитесь им!
Есть сомнения?
Не нашли подходящего ответа на вопрос или ответ отсутствует? Воспользуйтесь поиском по сайту, чтобы найти все ответы на похожие вопросы в разделе Геометрия.
Трудности с домашними заданиями? Не стесняйтесь попросить о помощи - смело задавайте вопросы!
Геометрия — раздел математики, изучающий пространственные структуры и отношения, а также их обобщения.