Вопрос по геометрии:
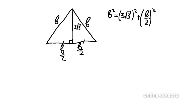
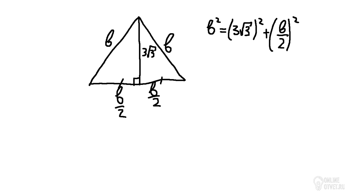
Найдите площадь равностороннего треугольника если:
а) сторона треугольника = в
б) высота треугольника = 3
- 27.01.2017 18:03
- Геометрия
- remove_red_eye 6122
- thumb_up 32
Ответы и объяснения 1
Знаете ответ? Поделитесь им!
Есть сомнения?
Не нашли подходящего ответа на вопрос или ответ отсутствует? Воспользуйтесь поиском по сайту, чтобы найти все ответы на похожие вопросы в разделе Геометрия.
Трудности с домашними заданиями? Не стесняйтесь попросить о помощи - смело задавайте вопросы!
Геометрия — раздел математики, изучающий пространственные структуры и отношения, а также их обобщения.