Вопрос по геометрии:
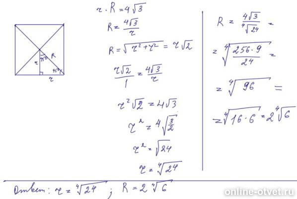
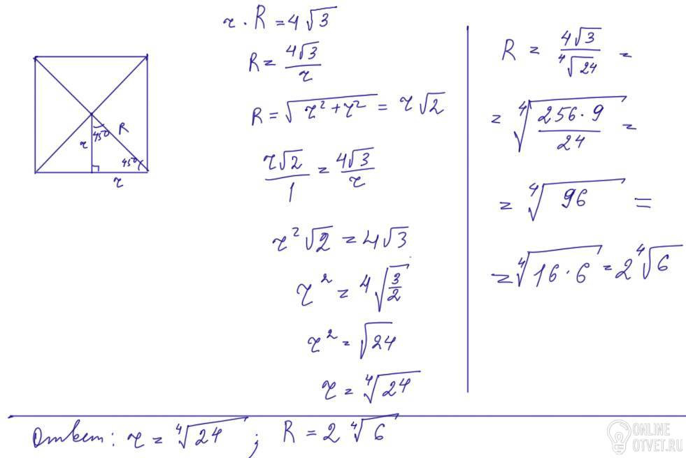
Найдите радиусы окружности в писанные в квадрат и описанные около него если их произведение равно 4 корня из 3
- 09.03.2018 05:38
- Геометрия
- remove_red_eye 13696
- thumb_up 33
Ответы и объяснения 1
Знаете ответ? Поделитесь им!
Есть сомнения?
Не нашли подходящего ответа на вопрос или ответ отсутствует? Воспользуйтесь поиском по сайту, чтобы найти все ответы на похожие вопросы в разделе Геометрия.
Трудности с домашними заданиями? Не стесняйтесь попросить о помощи - смело задавайте вопросы!
Геометрия — раздел математики, изучающий пространственные структуры и отношения, а также их обобщения.