Вопрос по геометрии:
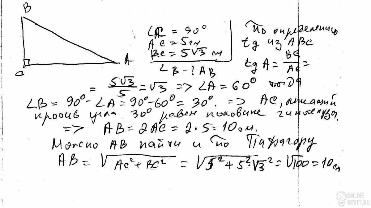
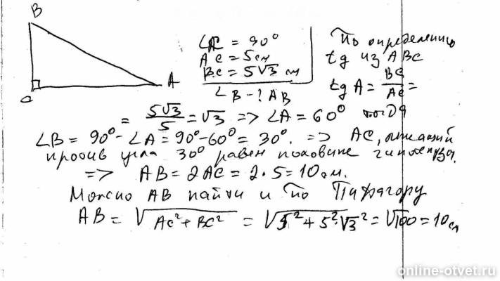
В прямоугольном треугольнике ABC угол С прямой, АС=5см,ВС=5 корней из 3 см. Найти угол В и гипотенузу АВ.
- 18.06.2017 06:30
- Геометрия
- remove_red_eye 5161
- thumb_up 9
Ответы и объяснения 1
Знаете ответ? Поделитесь им!
Есть сомнения?
Не нашли подходящего ответа на вопрос или ответ отсутствует? Воспользуйтесь поиском по сайту, чтобы найти все ответы на похожие вопросы в разделе Геометрия.
Трудности с домашними заданиями? Не стесняйтесь попросить о помощи - смело задавайте вопросы!
Геометрия — раздел математики, изучающий пространственные структуры и отношения, а также их обобщения.