Вопрос по геометрии:
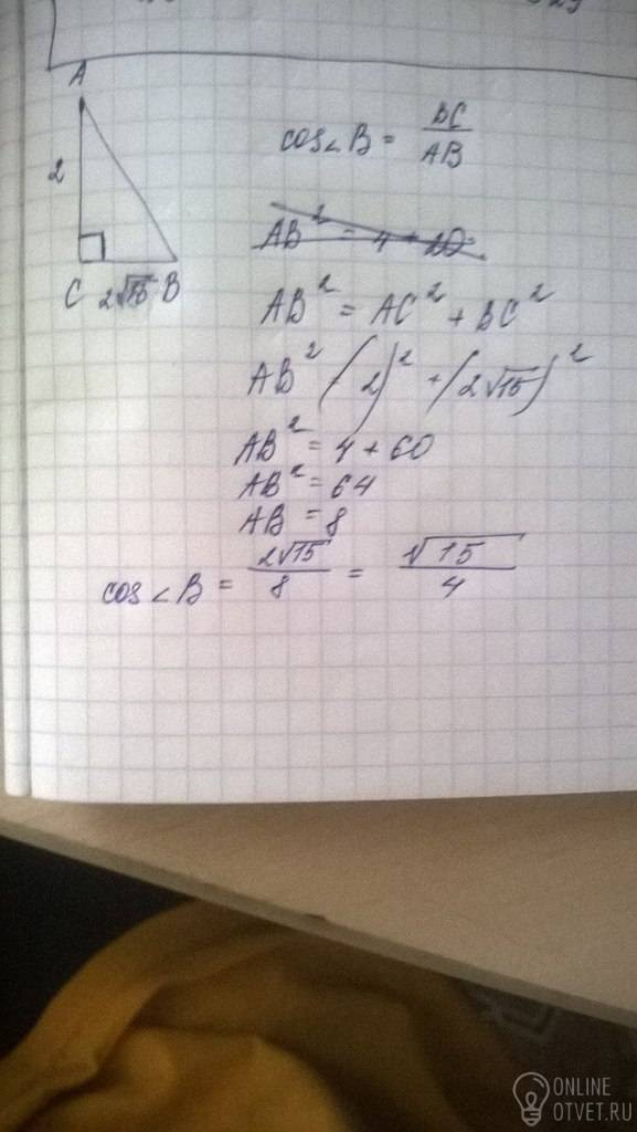
В треугольнике ABC угол С равен 90 градусов, АС = 2, ВС = 2 корень из 15. Найдите cos В
- 03.05.2017 16:38
- Геометрия
- remove_red_eye 5326
- thumb_up 41
Ответы и объяснения 1
Знаете ответ? Поделитесь им!
Есть сомнения?
Не нашли подходящего ответа на вопрос или ответ отсутствует? Воспользуйтесь поиском по сайту, чтобы найти все ответы на похожие вопросы в разделе Геометрия.
Трудности с домашними заданиями? Не стесняйтесь попросить о помощи - смело задавайте вопросы!
Геометрия — раздел математики, изучающий пространственные структуры и отношения, а также их обобщения.