Вопрос по геометрии:
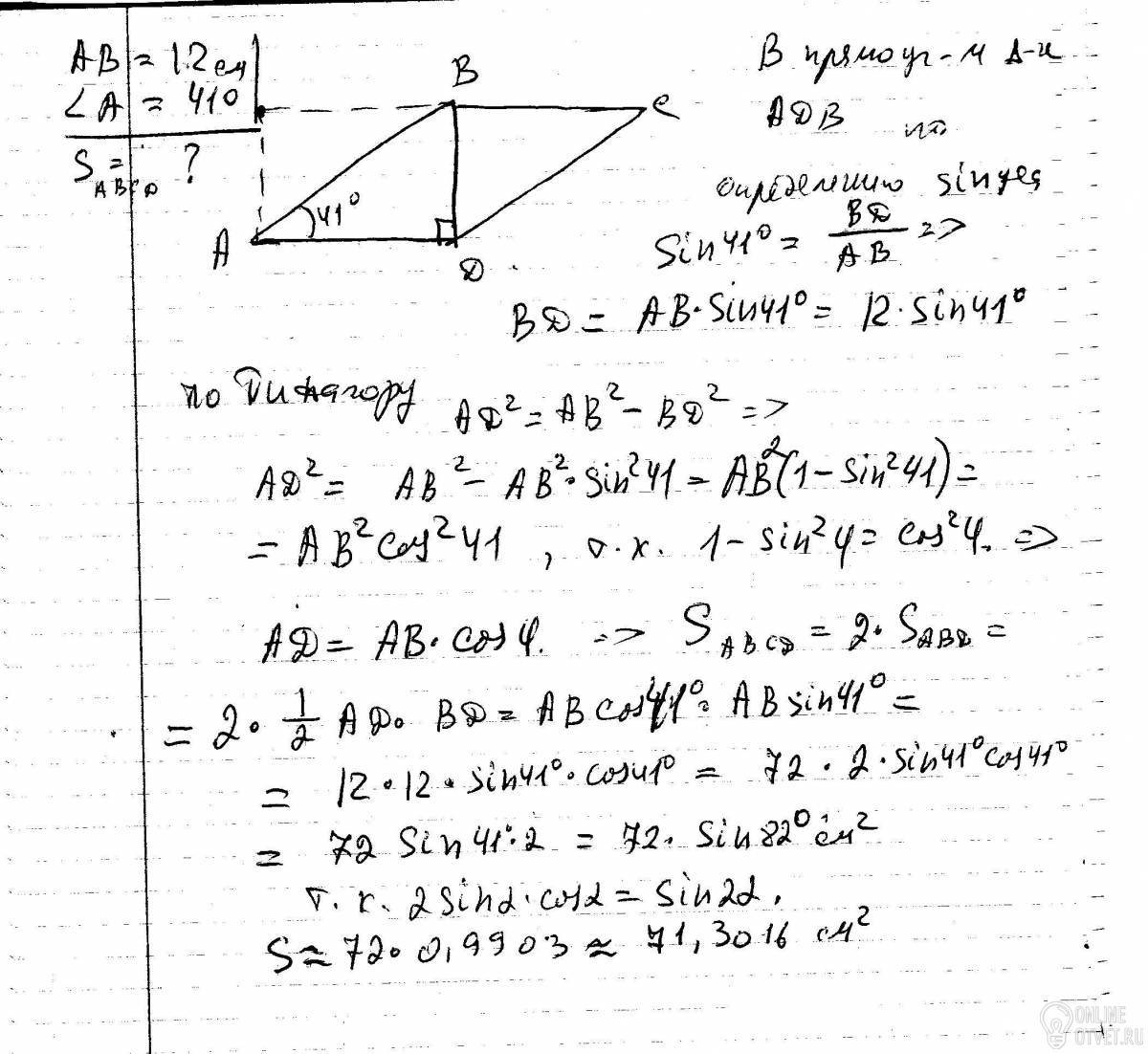
Диагональ ВД параллелограмма ABCД перпендикулярна к стороне АД. Найдите площадь параллелограмма АВСД, если АВ=12 см, угол=41°
- 27.10.2017 21:20
- Геометрия
- remove_red_eye 5719
- thumb_up 13
Ответы и объяснения 1
Знаете ответ? Поделитесь им!
Есть сомнения?
Не нашли подходящего ответа на вопрос или ответ отсутствует? Воспользуйтесь поиском по сайту, чтобы найти все ответы на похожие вопросы в разделе Геометрия.
Трудности с домашними заданиями? Не стесняйтесь попросить о помощи - смело задавайте вопросы!
Геометрия — раздел математики, изучающий пространственные структуры и отношения, а также их обобщения.