Вопрос по геометрии:
1. Стороны трекгольника равны 10 см, 12 см и 14 см. Найти периметр треугольника, вершины которого - середины сторон данного треугольника.
2. В равнобедренной трапеции АBCD высота BK делит основание AD на отрезки AK=4 см и KD=10 см. Найти основание BC трапеции.
3. Диагональ равнобедренной трапеции образует с основанием угол 54°, а ее боковая сторона равна большему основанию. Найти углы трапеции.
4. В трапеции ABCD средняя линия EF перевекает диагональ AC в точке K. Разность отрезков KF и KE равна 3 см. Найти основание трапеции, если их сумма равна 18 см.
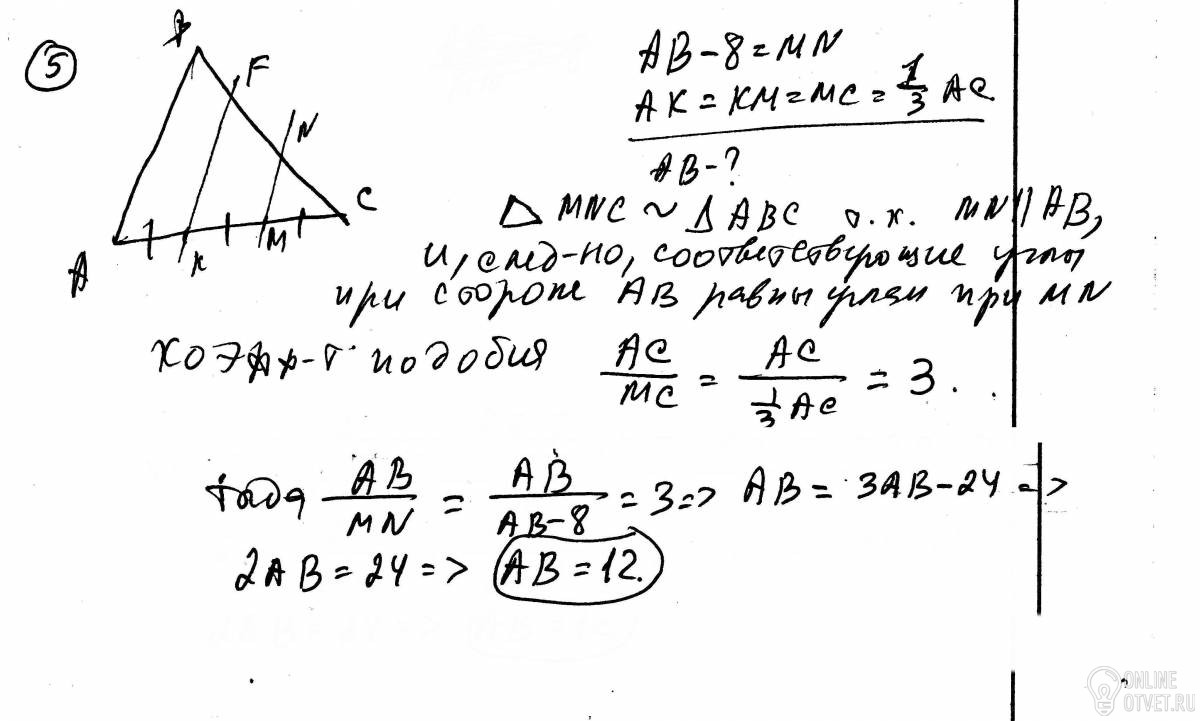
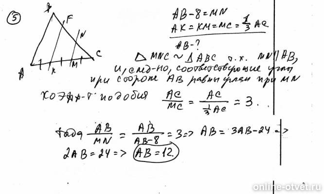
5. В треугольнике ABCD сторона AC разделена на три равных отрезка и через точки деления проведены прямые, параллельные стороне AB треугольника. Меньший из отрезков этих прямых, расположенных между сторонами треугольника, меньше стороны AB на 8 см. Найти сторону AB треугольника.
- 05.11.2016 19:02
- Геометрия
- remove_red_eye 13337
- thumb_up 34
Ответы и объяснения 1
Знаете ответ? Поделитесь им!
Есть сомнения?
Не нашли подходящего ответа на вопрос или ответ отсутствует? Воспользуйтесь поиском по сайту, чтобы найти все ответы на похожие вопросы в разделе Геометрия.
Трудности с домашними заданиями? Не стесняйтесь попросить о помощи - смело задавайте вопросы!
Геометрия — раздел математики, изучающий пространственные структуры и отношения, а также их обобщения.