Вопрос по геометрии:
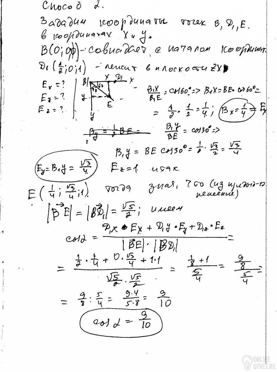
В правильной треугольной призме A...C1,все ребра которой равны 1,точки D,E-середины ребер соответственно A1B1 и B1C1.Найдите косинус угла между прямыми AD и BE.
НЕ СМЕТЬ ПЛАГИАТИТЬ.
- 26.07.2018 17:32
- Геометрия
- remove_red_eye 2617
- thumb_up 72
Ответы и объяснения 1
Знаете ответ? Поделитесь им!
Есть сомнения?
Не нашли подходящего ответа на вопрос или ответ отсутствует? Воспользуйтесь поиском по сайту, чтобы найти все ответы на похожие вопросы в разделе Геометрия.
Трудности с домашними заданиями? Не стесняйтесь попросить о помощи - смело задавайте вопросы!
Геометрия — раздел математики, изучающий пространственные структуры и отношения, а также их обобщения.