Вопрос по геометрии:
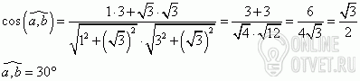
найдите угол между векторами a и b,заданными своими координатами a(1;sqrt3)и b(3;sqrt3)
- 05.12.2017 03:58
- Геометрия
- remove_red_eye 2058
- thumb_up 7
Ответы и объяснения 1
Знаете ответ? Поделитесь им!
Есть сомнения?
Не нашли подходящего ответа на вопрос или ответ отсутствует? Воспользуйтесь поиском по сайту, чтобы найти все ответы на похожие вопросы в разделе Геометрия.
Трудности с домашними заданиями? Не стесняйтесь попросить о помощи - смело задавайте вопросы!
Геометрия — раздел математики, изучающий пространственные структуры и отношения, а также их обобщения.