Вопрос по геометрии:
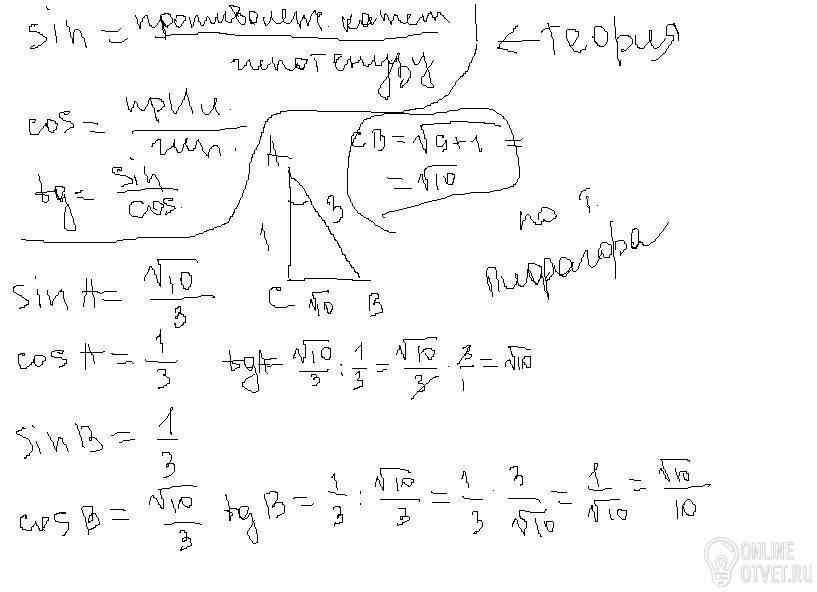
Найдите синус, косинус и тангенс углов А и В треугольника АВС с прямым углом С, если ВС=1дм, АС=3дм.
- 15.01.2018 17:12
- Геометрия
- remove_red_eye 9064
- thumb_up 33
Ответы и объяснения 1
Знаете ответ? Поделитесь им!
Есть сомнения?
Не нашли подходящего ответа на вопрос или ответ отсутствует? Воспользуйтесь поиском по сайту, чтобы найти все ответы на похожие вопросы в разделе Геометрия.
Трудности с домашними заданиями? Не стесняйтесь попросить о помощи - смело задавайте вопросы!
Геометрия — раздел математики, изучающий пространственные структуры и отношения, а также их обобщения.