Вопрос по геометрии:
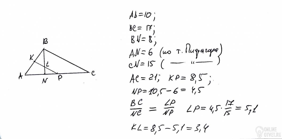
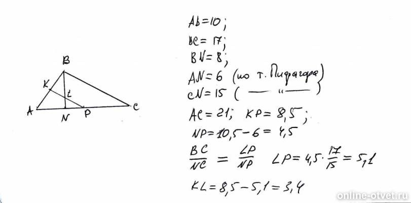
Две стороны треугольника равны 10 см и 17 см, а высота, проведенная из вершины угла между ними, равна 8 см. Найдите отрезки на которые эта высота делит среднюю линию, пер...(дальше лист не пропечатан там одно или два слова)
- 12.09.2017 01:54
- Геометрия
- remove_red_eye 17428
- thumb_up 40
Ответы и объяснения 1
Знаете ответ? Поделитесь им!
Есть сомнения?
Не нашли подходящего ответа на вопрос или ответ отсутствует? Воспользуйтесь поиском по сайту, чтобы найти все ответы на похожие вопросы в разделе Геометрия.
Трудности с домашними заданиями? Не стесняйтесь попросить о помощи - смело задавайте вопросы!
Геометрия — раздел математики, изучающий пространственные структуры и отношения, а также их обобщения.