Пожаловаться
- 07.05.2017 12:16
- Физика
- remove_red_eye 15626
- thumb_up 45
Ответы и объяснения 1
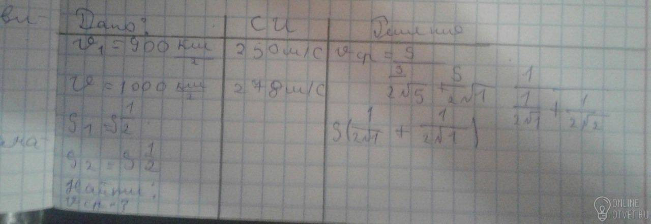
V1=250 м/с v=278 м/с vcp=?
===
s1=s2=s/2
t1=(s/2)/v1
t2=(s/2)/v
vcp=(s1+s2)/(t1+t2)=2*v1*v/(v1+v)=2*250*278/(250+278)=263 м/с (947 км/ч)
===========================================
===
s1=s2=s/2
t1=(s/2)/v1
t2=(s/2)/v
vcp=(s1+s2)/(t1+t2)=2*v1*v/(v1+v)=2*250*278/(250+278)=263 м/с (947 км/ч)
===========================================
Пожаловаться
- 08.05.2017 18:05
- thumb_up 47
Знаете ответ? Поделитесь им!
Есть сомнения?
Не нашли подходящего ответа на вопрос или ответ отсутствует? Воспользуйтесь поиском по сайту, чтобы найти все ответы на похожие вопросы в разделе Физика.
Трудности с домашними заданиями? Не стесняйтесь попросить о помощи - смело задавайте вопросы!
Физика — область естествознания: естественная наука о простейших и вместе с тем наиболее общих законах природы, о материи, её структуре и движении.
Новые вопросы
Интересные вопросы