Вопрос по физике:
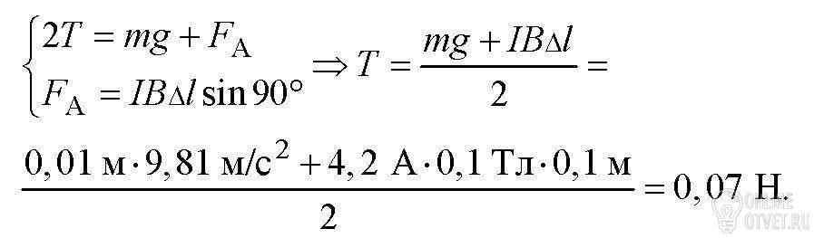
Проводник массой 10г подвешен на тонких легких нитях и помещен в однородное магнитное поле с индукцией 30 мТл направленной, как показано на рисунке. Длина проводника 20 см. Определите силу натяжения нитей при пропускании по проводнику тока силой 6А.
Помогите, пожалуйста, срочно с задачей!!!
- 15.12.2017 23:14
- Физика
- remove_red_eye 5856
- thumb_up 6
Ответы и объяснения 1
Знаете ответ? Поделитесь им!
Есть сомнения?
Не нашли подходящего ответа на вопрос или ответ отсутствует? Воспользуйтесь поиском по сайту, чтобы найти все ответы на похожие вопросы в разделе Физика.
Трудности с домашними заданиями? Не стесняйтесь попросить о помощи - смело задавайте вопросы!
Физика — область естествознания: естественная наука о простейших и вместе с тем наиболее общих законах природы, о материи, её структуре и движении.