Вопрос по физике:
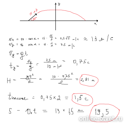
Тело брошено со скоростью υo= 15 м/с под углом α=30° к горизонту. Пренебрегая сопротивлением воздуха, определить: 1) высоту H подъема тела; 2) дальность полета (по горизонтали) S тела; 3) время его движения. Ответ: 1) 2,87 м; 2) 19,9 м; 3) 1,53 с.
Помогите с подробным решением, пожалуйста.
- 09.09.2017 03:00
- Физика
- remove_red_eye 6000
- thumb_up 16
Ответы и объяснения 1
Знаете ответ? Поделитесь им!
Есть сомнения?
Не нашли подходящего ответа на вопрос или ответ отсутствует? Воспользуйтесь поиском по сайту, чтобы найти все ответы на похожие вопросы в разделе Физика.
Трудности с домашними заданиями? Не стесняйтесь попросить о помощи - смело задавайте вопросы!
Физика — область естествознания: естественная наука о простейших и вместе с тем наиболее общих законах природы, о материи, её структуре и движении.