Вопрос по физике:
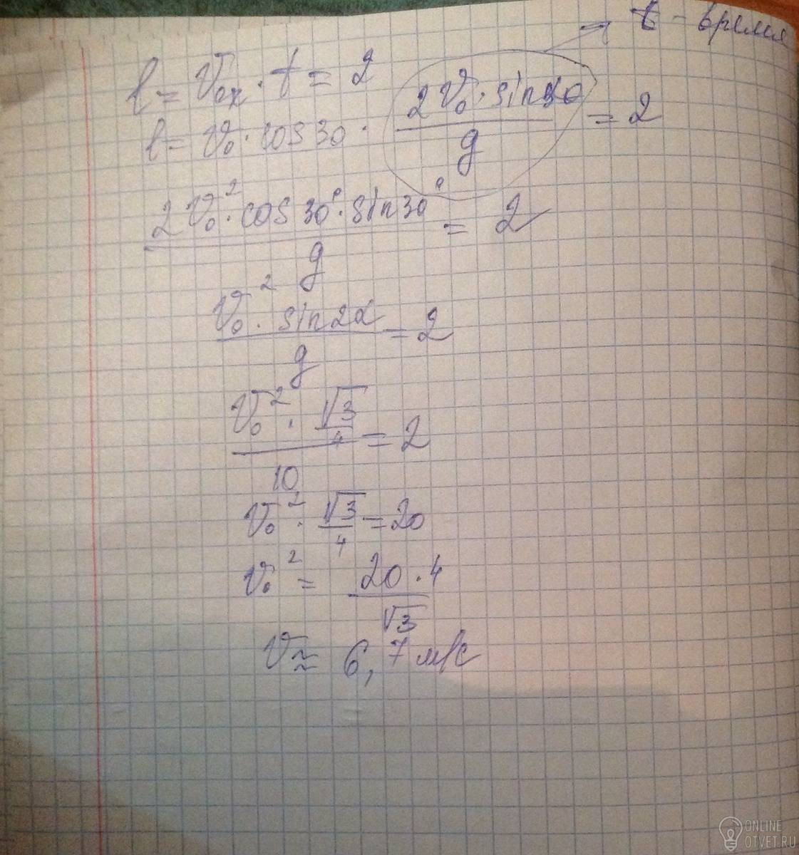
Шарик выпущен из баллистического пистолета расположенного у края стола на высоте 0,8м под углом 30 градусов к горизонту . какой должна быть начальная скорость шарика , чтобы он приземлился на пол на расстоянии 2 метра от стола
- 22.01.2018 22:30
- Физика
- remove_red_eye 16328
- thumb_up 43
Ответы и объяснения 1
Знаете ответ? Поделитесь им!
Есть сомнения?
Не нашли подходящего ответа на вопрос или ответ отсутствует? Воспользуйтесь поиском по сайту, чтобы найти все ответы на похожие вопросы в разделе Физика.
Трудности с домашними заданиями? Не стесняйтесь попросить о помощи - смело задавайте вопросы!
Физика — область естествознания: естественная наука о простейших и вместе с тем наиболее общих законах природы, о материи, её структуре и движении.