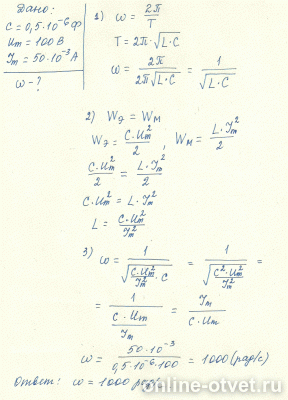
Вопрос по физике:
Тульский самовар-рекордсмен закипал за 20 мин при ежеминутном сгорании 460 г угля. Какой объем у этого самовара? Начальная температура воды Т0 = 150C, КПД самовара 50%, удельная теплота сгорания угля q = 35 МДж/кг.
- 07.04.2017 13:02
- Физика
- remove_red_eye 2849
- thumb_up 42
Ответы и объяснения 1
Знаете ответ? Поделитесь им!
Есть сомнения?
Не нашли подходящего ответа на вопрос или ответ отсутствует? Воспользуйтесь поиском по сайту, чтобы найти все ответы на похожие вопросы в разделе Физика.
Трудности с домашними заданиями? Не стесняйтесь попросить о помощи - смело задавайте вопросы!
Физика — область естествознания: естественная наука о простейших и вместе с тем наиболее общих законах природы, о материи, её структуре и движении.