Вопрос по физике:
Помогите, пожалуйста...никак не могу решить:
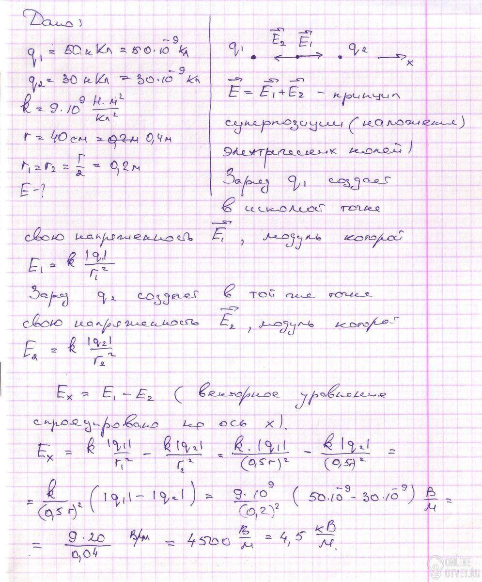
Между двумя зарядами 50нКл (50*10^-6) и 30нКл (30*10^-6) в вакууме расстояние 40 см. Определить в СИ напряженность электрического поля посередине между зарядами.
- 16.08.2018 14:28
- Физика
- remove_red_eye 2278
- thumb_up 77
Ответы и объяснения 1
Знаете ответ? Поделитесь им!
Есть сомнения?
Не нашли подходящего ответа на вопрос или ответ отсутствует? Воспользуйтесь поиском по сайту, чтобы найти все ответы на похожие вопросы в разделе Физика.
Трудности с домашними заданиями? Не стесняйтесь попросить о помощи - смело задавайте вопросы!
Физика — область естествознания: естественная наука о простейших и вместе с тем наиболее общих законах природы, о материи, её структуре и движении.