Вопрос по физике:
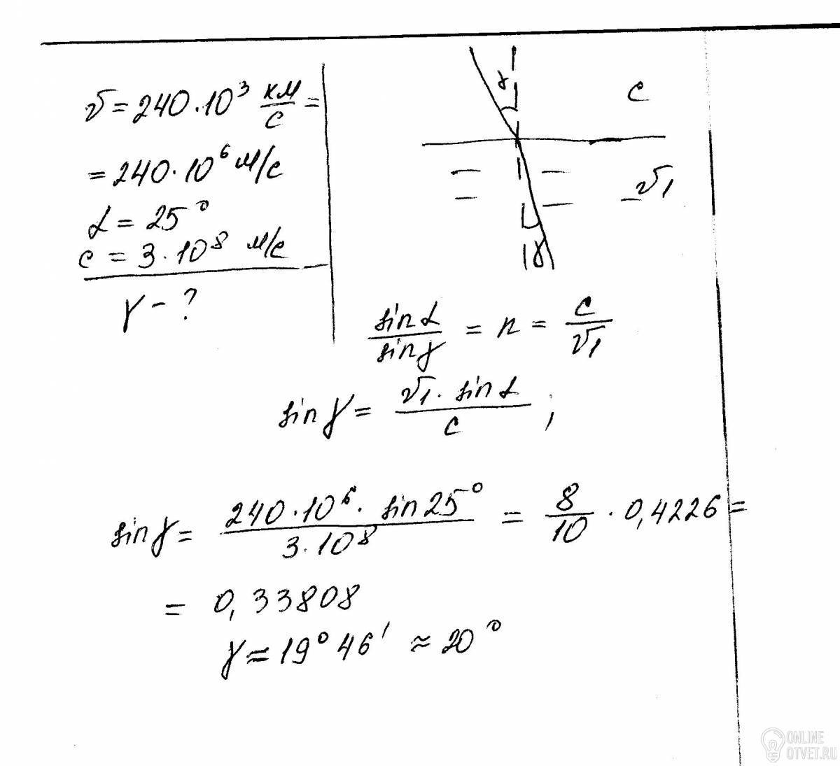
Скорость распространения света в некоторой жидкости равна 240*10^3 км/с.На поверхность этой жидкости под углом 25 градусов из воздуха падает луч.Определить угол преломления луча.
- 31.07.2018 23:19
- Физика
- remove_red_eye 9860
- thumb_up 106
Ответы и объяснения 1
Знаете ответ? Поделитесь им!
Есть сомнения?
Не нашли подходящего ответа на вопрос или ответ отсутствует? Воспользуйтесь поиском по сайту, чтобы найти все ответы на похожие вопросы в разделе Физика.
Трудности с домашними заданиями? Не стесняйтесь попросить о помощи - смело задавайте вопросы!
Физика — область естествознания: естественная наука о простейших и вместе с тем наиболее общих законах природы, о материи, её структуре и движении.