Вопрос по физике:
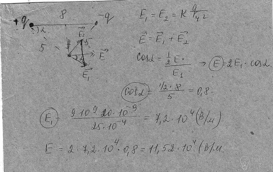
2 маленьких шарика расположены на расстоянии 8 см один от другого найдите напряжённость электрического поля в точке,удалённой от каждого из них на 5 см,если заряды шариков +20 и -20 нКл
- 21.05.2017 06:28
- Физика
- remove_red_eye 17396
- thumb_up 17
Ответы и объяснения 1
Знаете ответ? Поделитесь им!
Есть сомнения?
Не нашли подходящего ответа на вопрос или ответ отсутствует? Воспользуйтесь поиском по сайту, чтобы найти все ответы на похожие вопросы в разделе Физика.
Трудности с домашними заданиями? Не стесняйтесь попросить о помощи - смело задавайте вопросы!
Физика — область естествознания: естественная наука о простейших и вместе с тем наиболее общих законах природы, о материи, её структуре и движении.