Вопрос по алгебре:
Помогитеее глупому школьнику
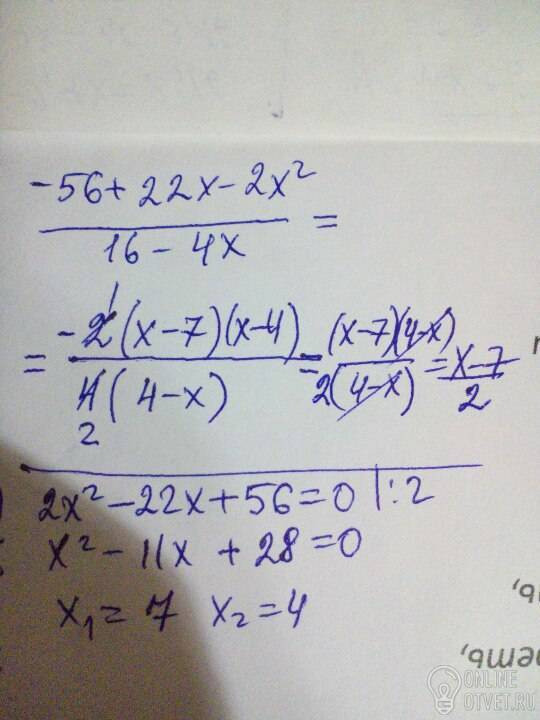
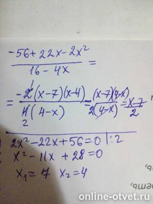
Сократите дробь
-56+22x-2x^2
----------------------
16-4x
- 07.03.2018 00:39
- Алгебра
- remove_red_eye 8349
- thumb_up 29
Ответы и объяснения 1
Знаете ответ? Поделитесь им!
Есть сомнения?
Не нашли подходящего ответа на вопрос или ответ отсутствует? Воспользуйтесь поиском по сайту, чтобы найти все ответы на похожие вопросы в разделе Алгебра.
Трудности с домашними заданиями? Не стесняйтесь попросить о помощи - смело задавайте вопросы!
Алгебра — раздел математики, который можно нестрого охарактеризовать как обобщение и расширение арифметики.