- 02.02.2018 20:20
- Алгебра
- remove_red_eye 13510
- thumb_up 12
Ответы и объяснения 1
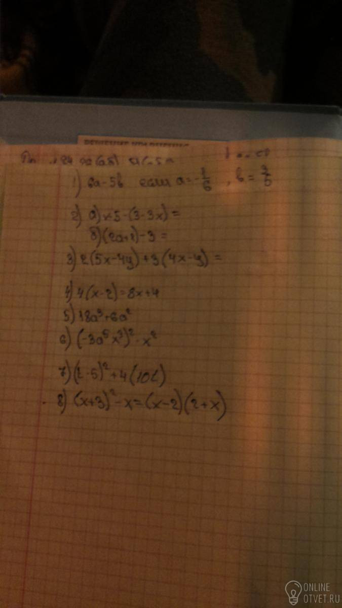
1)(6*1/6)-(5*9/5)=1-9=-8
2)А)x5-3+3x=8x-3
Б)2a+8-3=2a+5
3)10x-8y+12x-3y=22x-11y
4)4x-8=8x+4
4x-8x=4+8
-4x=12
-x=3
x=-3
5) 24a в 5 степени
7)*
-x²=
*
вроде так,но не уверенна
8)x²+6x+9-x=x²-4
x²+5x-x²=-4-9
5x=-11
x=-2.2
- 04.02.2018 00:34
- thumb_up 44
Знаете ответ? Поделитесь им!
Есть сомнения?
Не нашли подходящего ответа на вопрос или ответ отсутствует? Воспользуйтесь поиском по сайту, чтобы найти все ответы на похожие вопросы в разделе Алгебра.
Трудности с домашними заданиями? Не стесняйтесь попросить о помощи - смело задавайте вопросы!
Алгебра — раздел математики, который можно нестрого охарактеризовать как обобщение и расширение арифметики.