Вопрос по алгебре:
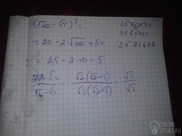
а) 5√1,44-2(√3)²
б) 4√ 6 1/4 - 3√1 7/9
сравнить:
a) √0,5 и 4√ 1/3
б) √5 и √3
упростить:
а) (4√3-√18)*√2-4√6
б) 5√3 - √12 + √75
сократить дробь:
а) х²-2/ корень из 2х +2
б) корень из 5 +1/ √10 + √2
- 24.01.2018 15:50
- Алгебра
- remove_red_eye 19100
- thumb_up 41
Ответы и объяснения 1
Знаете ответ? Поделитесь им!
Есть сомнения?
Не нашли подходящего ответа на вопрос или ответ отсутствует? Воспользуйтесь поиском по сайту, чтобы найти все ответы на похожие вопросы в разделе Алгебра.
Трудности с домашними заданиями? Не стесняйтесь попросить о помощи - смело задавайте вопросы!
Алгебра — раздел математики, который можно нестрого охарактеризовать как обобщение и расширение арифметики.