Пожаловаться
- 24.01.2018 15:50
- Алгебра
- remove_red_eye 4768
- thumb_up 22
Ответы и объяснения 2
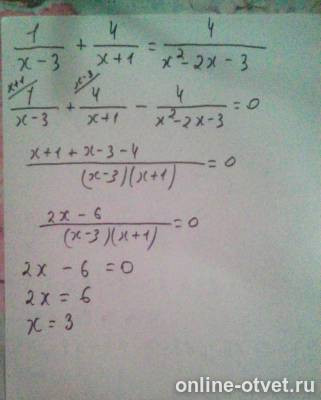
Первым делом перебрасываем правую часть уравнения влево с противоположным знаком( смотрим на числитель, если в числителе положительное значение, как у нас, то перебросив вправо будет отрицательным).
В следующем этапе находим общий знаменатель, делим общий знаменатель на знаменатель каждой дроби в уравнении, домнажаем числитель каждого выражения и считаем. Получим 3, но это еще не все, мы должны узнать подходит ли это значение нам, смотрим на общий знаменатель и подставляем 3 вместо икса, если при вычислении получился ноль, а на ноль делить нельзя, то в этом случае решений нет
В следующем этапе находим общий знаменатель, делим общий знаменатель на знаменатель каждой дроби в уравнении, домнажаем числитель каждого выражения и считаем. Получим 3, но это еще не все, мы должны узнать подходит ли это значение нам, смотрим на общий знаменатель и подставляем 3 вместо икса, если при вычислении получился ноль, а на ноль делить нельзя, то в этом случае решений нет
Пожаловаться
- 26.01.2018 05:07
- thumb_up 4
Знаете ответ? Поделитесь им!
Есть сомнения?
Не нашли подходящего ответа на вопрос или ответ отсутствует? Воспользуйтесь поиском по сайту, чтобы найти все ответы на похожие вопросы в разделе Алгебра.
Трудности с домашними заданиями? Не стесняйтесь попросить о помощи - смело задавайте вопросы!
Алгебра — раздел математики, который можно нестрого охарактеризовать как обобщение и расширение арифметики.
Новые вопросы
Интересные вопросы