- 02.04.2018 16:53
- Алгебра
- remove_red_eye 609
- thumb_up 11
Ответы и объяснения 1
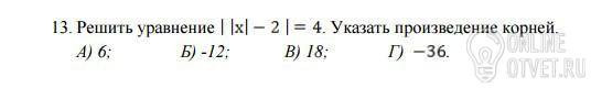
||x| -2| =4
1) |x| -2 =4
|x|=4+2
|x|=6
x₁=6
x₂= -6
2) -(|x| -2) = 4
- |x| +2 =4
- |x| =4 -2
- |x| = 2
|x| = -2
нет решений.
3) x₁ * x₂ = 6 * (-6) = -36
Ответ: Г) -36.
- 03.04.2018 07:46
- thumb_up 2
Знаете ответ? Поделитесь им!
Есть сомнения?
Не нашли подходящего ответа на вопрос или ответ отсутствует? Воспользуйтесь поиском по сайту, чтобы найти все ответы на похожие вопросы в разделе Алгебра.
Трудности с домашними заданиями? Не стесняйтесь попросить о помощи - смело задавайте вопросы!
Алгебра — раздел математики, который можно нестрого охарактеризовать как обобщение и расширение арифметики.