Вопрос по математике:
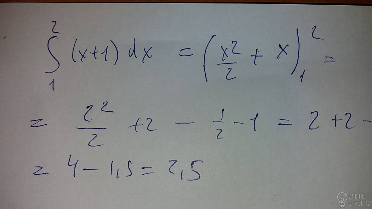
1. Вычислить определенный интеграл: интеграл вверху 2 внизу 1 (х+1)dx
Пожалуйста с подробным объяснением
- 02.08.2018 17:12
- Математика
- remove_red_eye 11958
- thumb_up 6
Ответы и объяснения 1
Знаете ответ? Поделитесь им!
Есть сомнения?
Не нашли подходящего ответа на вопрос или ответ отсутствует? Воспользуйтесь поиском по сайту, чтобы найти все ответы на похожие вопросы в разделе Математика.
Трудности с домашними заданиями? Не стесняйтесь попросить о помощи - смело задавайте вопросы!
Математика — наука о структурах, порядке и отношениях, исторически сложившаяся на основе операций подсчёта, измерения и описания формы объектов.