Вопрос по математике:
Разложите на множители.
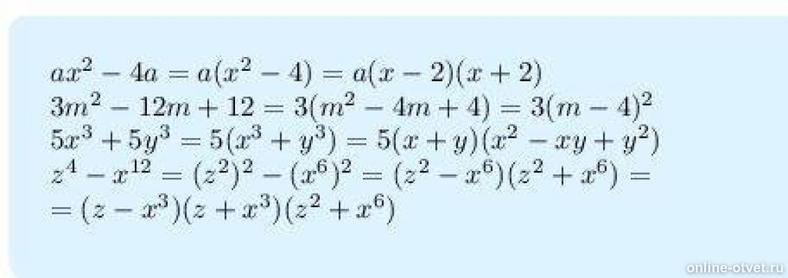
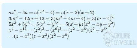
a) axv2-4a
б) 3mv2-12m+12
в)5xv3+5yv3
г)zv4-xv12
- 17.08.2016 19:06
- Математика
- remove_red_eye 680
- thumb_up 18
Ответы и объяснения 1
Знаете ответ? Поделитесь им!
Есть сомнения?
Не нашли подходящего ответа на вопрос или ответ отсутствует? Воспользуйтесь поиском по сайту, чтобы найти все ответы на похожие вопросы в разделе Математика.
Трудности с домашними заданиями? Не стесняйтесь попросить о помощи - смело задавайте вопросы!
Математика — наука о структурах, порядке и отношениях, исторически сложившаяся на основе операций подсчёта, измерения и описания формы объектов.