- 04.08.2018 07:33
- Математика
- remove_red_eye 8999
- thumb_up 46
Ответы и объяснения 1
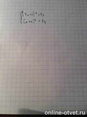
4х²+8х+1=5у
х²+8х+16=5у
вычтем из первого второе
3х³-15=0
3х²=15
х²=5
х₁=√5 х₂=-√5
5у₁=4*5+8√5+1
у₁=(21+8√5)/5
5у₂=4*5-8√5+1
у₂=(21-8√5)/5
- 05.08.2018 21:15
- thumb_up 15
Знаете ответ? Поделитесь им!
Есть сомнения?
Не нашли подходящего ответа на вопрос или ответ отсутствует? Воспользуйтесь поиском по сайту, чтобы найти все ответы на похожие вопросы в разделе Математика.
Трудности с домашними заданиями? Не стесняйтесь попросить о помощи - смело задавайте вопросы!
Математика — наука о структурах, порядке и отношениях, исторически сложившаяся на основе операций подсчёта, измерения и описания формы объектов.