Вопрос по математике:
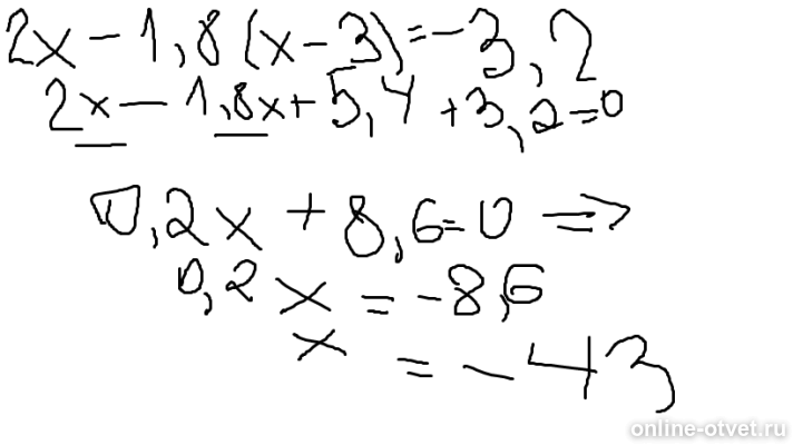
Реши уравнение:2х-1,8(х-3)=-3,2 №2:упрости выражения:-0,6а*0,75b*(-с) -(2а-3)+(4а-2) 4(1,25х-0,9у)-3х+4,6у
- 19.08.2018 23:51
- Математика
- remove_red_eye 15442
- thumb_up 47
Ответы и объяснения 1
Знаете ответ? Поделитесь им!
Есть сомнения?
Не нашли подходящего ответа на вопрос или ответ отсутствует? Воспользуйтесь поиском по сайту, чтобы найти все ответы на похожие вопросы в разделе Математика.
Трудности с домашними заданиями? Не стесняйтесь попросить о помощи - смело задавайте вопросы!
Математика — наука о структурах, порядке и отношениях, исторически сложившаяся на основе операций подсчёта, измерения и описания формы объектов.