- 09.04.2018 21:09
- Химия
- remove_red_eye 17822
- thumb_up 49
Ответы и объяснения 1
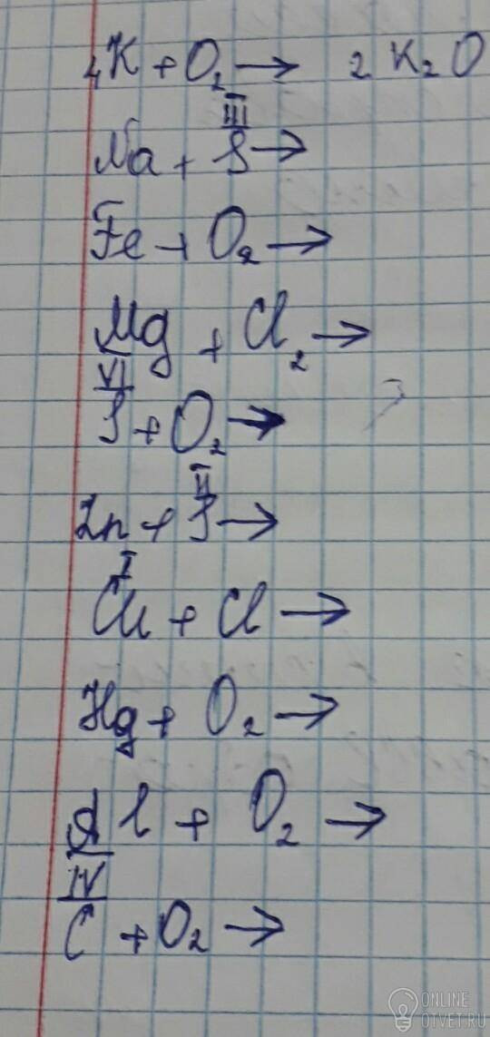
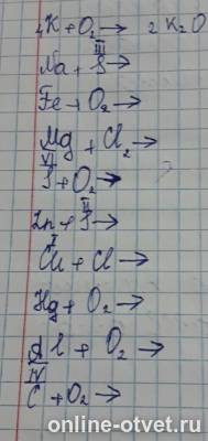
2Fe + O2 — 2FeO;
Mg + Cl2 — MgCl2;
2S + 3O2 — 2SO3;
Zn + S — ZnS;
Cu + Cl — CuCl;
2Hg + O2 — 2HgO;
Al + O2 — Al2O3;
C + O2 — CO2.
- 01.01.1970 00:00
- thumb_up 5
Знаете ответ? Поделитесь им!
Есть сомнения?
Не нашли подходящего ответа на вопрос или ответ отсутствует? Воспользуйтесь поиском по сайту, чтобы найти все ответы на похожие вопросы в разделе Химия.
Трудности с домашними заданиями? Не стесняйтесь попросить о помощи - смело задавайте вопросы!
Химия — одна из важнейших и обширных областей естествознания, наука о веществах, их составе и строении, их свойствах, зависящих от состава и строения, их превращениях, ведущих к изменению состава — химических реакциях, а также о законах и закономерностях, которым эти превращения подчиняются.