Вопрос по химии:
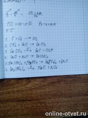
Напишите уровнения реакций с помощью которых можно осуществить следующее превращение C->CO2->CaCO3->CaO->Ca (OH)2->Ca3 (PO4)2->P2O5
- 25.01.2018 07:03
- Химия
- remove_red_eye 12974
- thumb_up 16
Ответы и объяснения 1
Знаете ответ? Поделитесь им!
Есть сомнения?
Не нашли подходящего ответа на вопрос или ответ отсутствует? Воспользуйтесь поиском по сайту, чтобы найти все ответы на похожие вопросы в разделе Химия.
Трудности с домашними заданиями? Не стесняйтесь попросить о помощи - смело задавайте вопросы!
Химия — одна из важнейших и обширных областей естествознания, наука о веществах, их составе и строении, их свойствах, зависящих от состава и строения, их превращениях, ведущих к изменению состава — химических реакциях, а также о законах и закономерностях, которым эти превращения подчиняются.