Вопрос по геометрии:
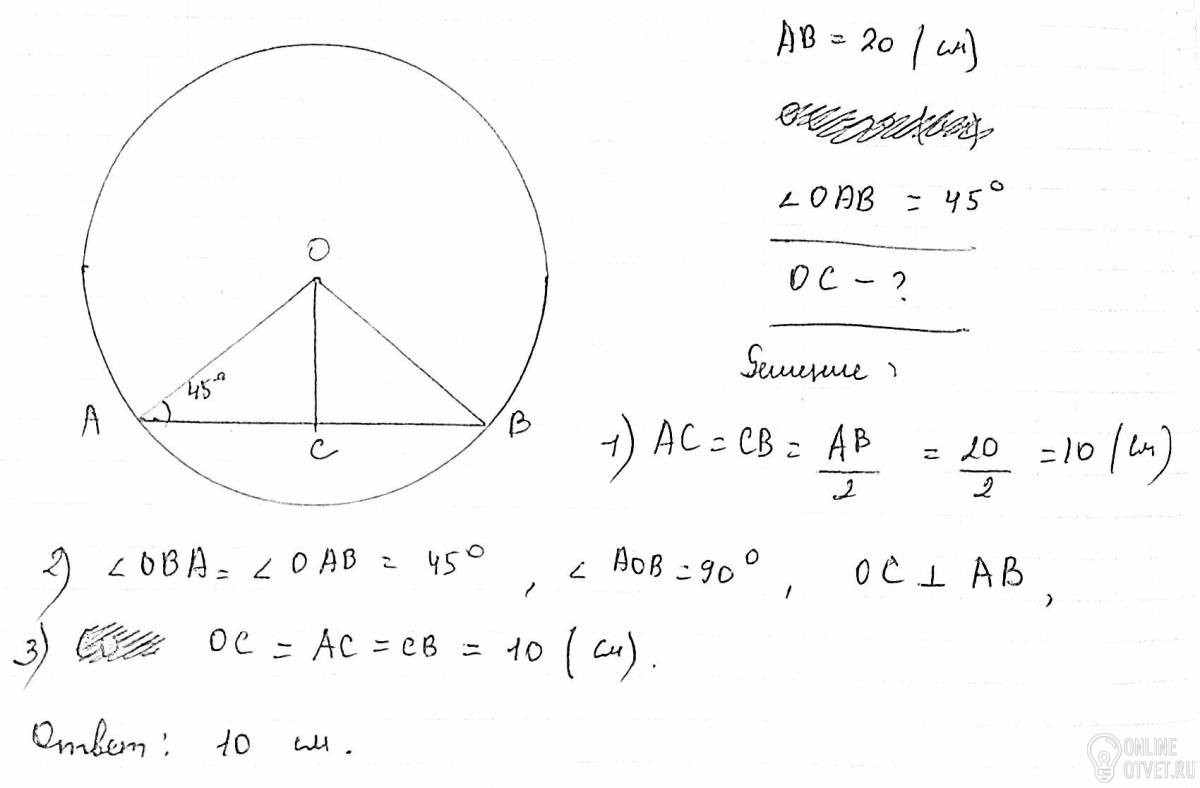
Из центра окружности О к хорде АВ, равной 20 см, проведен перпендикуляр ОС.
Найдите длину перпендикуляра, если
∠ОАВ = 45 °
- 27.06.2017 05:09
- Геометрия
- remove_red_eye 17423
- thumb_up 10
Ответы и объяснения 1
Знаете ответ? Поделитесь им!
Есть сомнения?
Не нашли подходящего ответа на вопрос или ответ отсутствует? Воспользуйтесь поиском по сайту, чтобы найти все ответы на похожие вопросы в разделе Геометрия.
Трудности с домашними заданиями? Не стесняйтесь попросить о помощи - смело задавайте вопросы!
Геометрия — раздел математики, изучающий пространственные структуры и отношения, а также их обобщения.