Вопрос по геометрии:
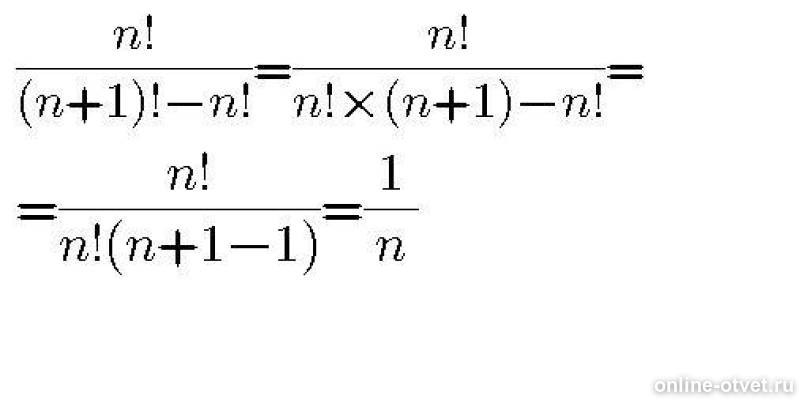
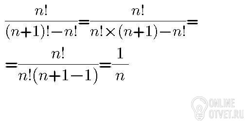
Сократить дробь: n!/(n+1)!-n! А. 1/n; Б.1/3n; В.2n; Помогите пожалуйста!!!!!
Пожаловаться
- 02.07.2018 03:04
- Геометрия
- remove_red_eye 11001
- thumb_up 17
Ответы и объяснения 1
Знаете ответ? Поделитесь им!
Есть сомнения?
Не нашли подходящего ответа на вопрос или ответ отсутствует? Воспользуйтесь поиском по сайту, чтобы найти все ответы на похожие вопросы в разделе Геометрия.
Трудности с домашними заданиями? Не стесняйтесь попросить о помощи - смело задавайте вопросы!
Геометрия — раздел математики, изучающий пространственные структуры и отношения, а также их обобщения.
Новые вопросы
Интересные вопросы