Вопрос по геометрии:
Помогите решить задачу по геометрии 8 класс
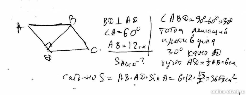
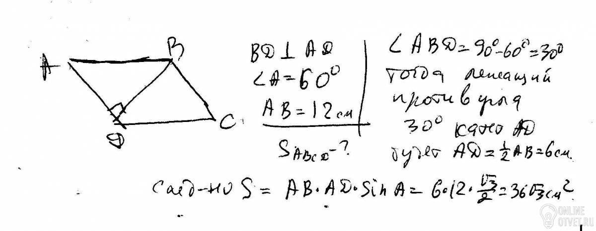
Диагональ ВД параллелограмма АВСД перпендикулярна к стороне АД, АВ= 12 см, угол А=60'С. Найдите площадь параллелограмма?
- 27.01.2017 06:25
- Геометрия
- remove_red_eye 12419
- thumb_up 38
Ответы и объяснения 1
Знаете ответ? Поделитесь им!
Есть сомнения?
Не нашли подходящего ответа на вопрос или ответ отсутствует? Воспользуйтесь поиском по сайту, чтобы найти все ответы на похожие вопросы в разделе Геометрия.
Трудности с домашними заданиями? Не стесняйтесь попросить о помощи - смело задавайте вопросы!
Геометрия — раздел математики, изучающий пространственные структуры и отношения, а также их обобщения.