Вопрос по геометрии:
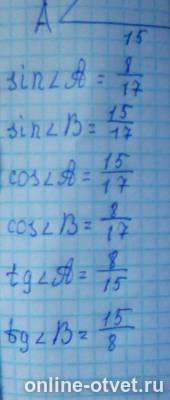
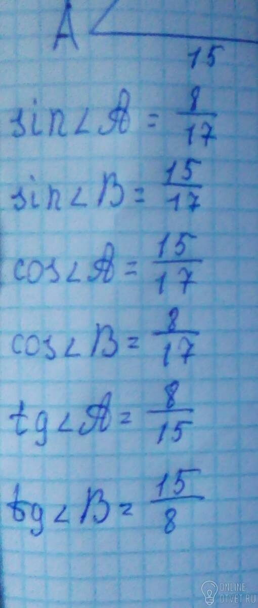
В треугольнике ABC угол C = 90 градусов Найдите синус косинус и тангенс углов A и B если BC = 8 см AB =17 см AC= 15 см
- 21.07.2017 22:38
- Геометрия
- remove_red_eye 19330
- thumb_up 18
Ответы и объяснения 1
Знаете ответ? Поделитесь им!
Есть сомнения?
Не нашли подходящего ответа на вопрос или ответ отсутствует? Воспользуйтесь поиском по сайту, чтобы найти все ответы на похожие вопросы в разделе Геометрия.
Трудности с домашними заданиями? Не стесняйтесь попросить о помощи - смело задавайте вопросы!
Геометрия — раздел математики, изучающий пространственные структуры и отношения, а также их обобщения.